实惨!广东省本科率38%,让我们一起扒扒深圳高中本科率
广东省教育考试院通报称:今年广东省本科批次院校共录取28.6万多人,完成原招生计划的101%。
今年广东省高考人数达78.8万人,我们来算算广东省的本科率

广东本科率咋那么低!
我们拉取了历年广东本科率进行了解,得出下图

在2019年,广东的本科录取率排在全国第10位,后面是新疆、河南和广西。
在报名人数高达75万的广东,能有30w左右的考生能上本科,已经实属不易了。尤其是,在高考报名总人数创新高的情况下,打破自2017年以来逐年上涨的常态,本科录取率下降了。不得不说,今年的本科竞争实在太大了。

深圳的情况又是如何呢?
我们一起来看看

从已经公布的数据中可以看出,深圳大部分公办高中,甚至是部分民办高中的本科率,都已经高于广东整体水平。
其中四大和八大的本科率高达98%,其余高中本科率普遍高于38%,在深圳普高率只有约45%的情况之下,能够从中考中脱颖而出成为公办高中的学生,已经是经过了一轮筛选,再经过深圳高中三年的培养参加竞争更加激烈的高考。
不少家长戏称——

在这里我还是得心疼心疼咱们大深圳的学生!
小时候总有一种纠结——是上清华好呢,还是上北大好呢?长大了才发现连上个大学都难,其实现在能够读到一所公费本科已经实属不易,能上到重本、211、985甚至是清北的学生更是凤毛麟角。
而且在实际的高考中,有很大一部分同学虽然上了重本线、本科线,却依旧因为地区、专业等原因不得不选择比原分数低一个等级的学校。

如今年文科高分优投线为536分,但双非的广东财经大学文科投档线为535分,广东警官学院文、理科投档线分别为534分、514分,深圳技术大学文科投档线为532分。

如果对专业有要求,就需要更高的分数了,以2019年为例(2020年专业分数线暂时未公布),当年广东文科的高分优投线为546分,但是广财的热门专业的平均投档分数都在560分左右。

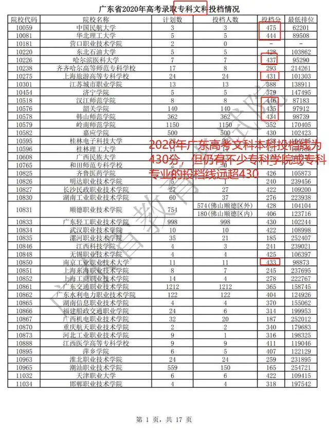
9月1日广东文/理专科投档线出炉,更是惊现500分“喜提”专科的现象。
今年广东文科本科投档线为430分,理科410分,但是从广东省教育考试院公布的官方投档情况来看,一些专科院校或专科专业的投档线远超430。

所以在新高考改革之下,同学们更加要好好学习提高总分,家长们更是要弄懂新高考政策,提前了解选科和专业选择,提前规划。